艺术学院2025届毕业生校内奖学金获得者名单公示

作者:时间:2025-05-20点击数:

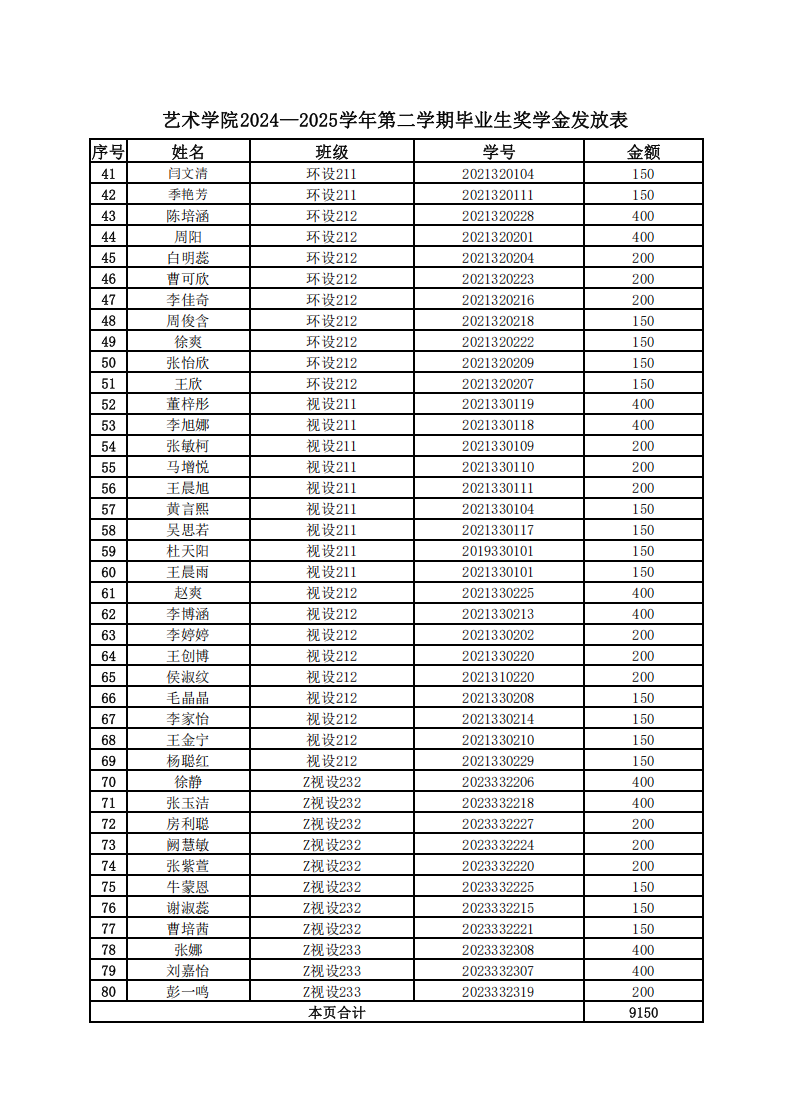
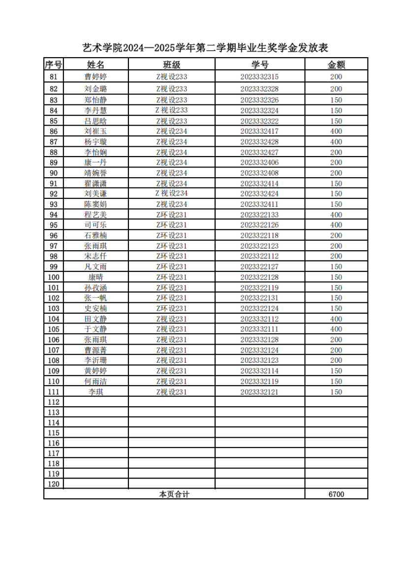
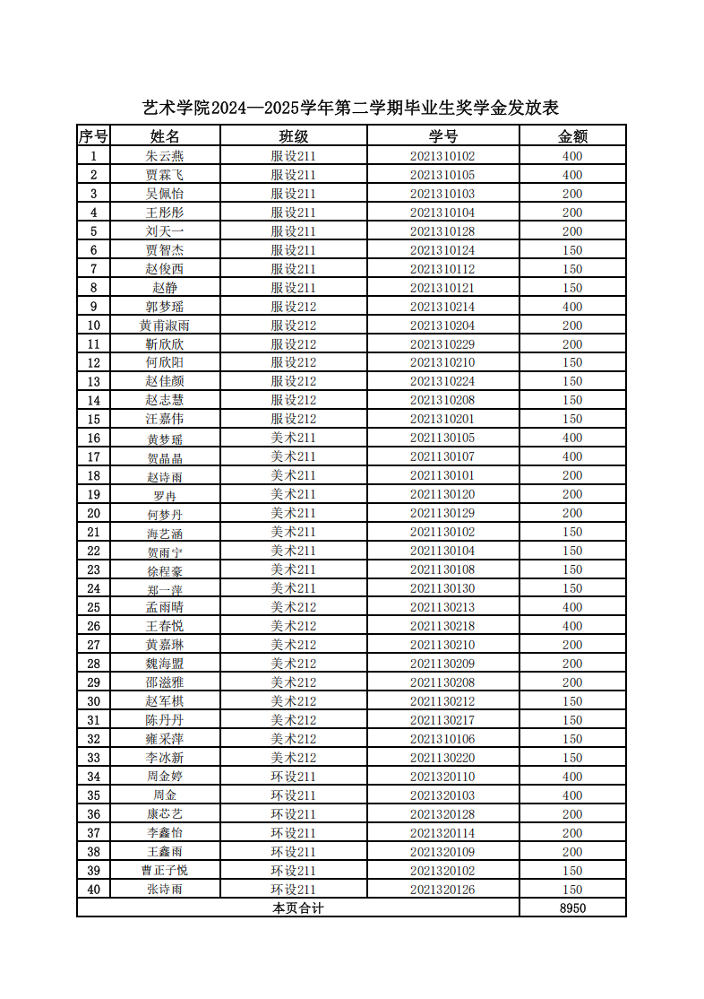
根据《永利23411集团官网校内奖学金评定细则(试行)》(校发字[2022]156号)的通知要求,经学生申请、学院评审、学校审核,艺术学院获得校内奖学金的毕业生共111人。现将拟获得2024-2025学年第二学期毕业生校内奖学金学生名单予以公示。

图片/汪书宇 初审/汪书宇 复审/李锦钰 终审/张建伟



地址:河南省新乡市新飞大道南段777号 电话:0373-6330058 邮编:453003
版权所有:永利23411集团官网 艺术学院