当前位置: 学院首页 >> 团学工作 >> 资助工作 >> 正文

生物工程学院家庭经济困难学生认定结果公示

发布人:生物工程学院     发布时间:2025-09-12   浏览次数:


全院师生:

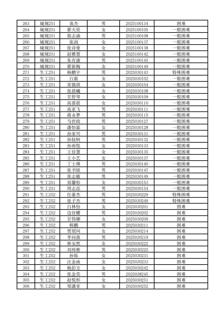
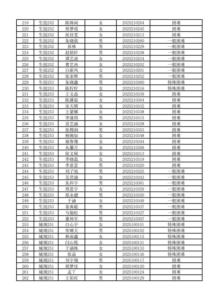
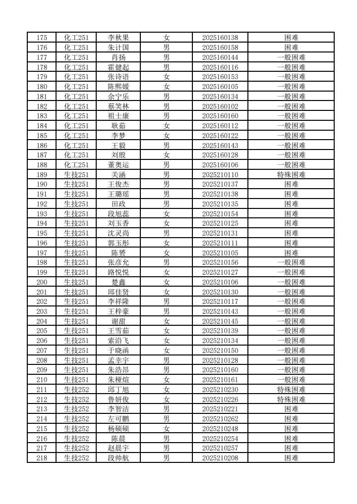
经学生本人申请、各班级认定评议小组民主评议、生物工程学院家庭经济困难学生认定工作组审核确认,现将20252026学年新生家庭经济困难学生认定结果进行公示。

公示时间:2025912日—2025919

投诉举报电话:0373-6330045

投诉举报邮箱:xgsgzz413@163.com